Официальное опубликование правовых актов
ОФИЦИАЛЬНОЕ ОПУБЛИКОВАНИЕ
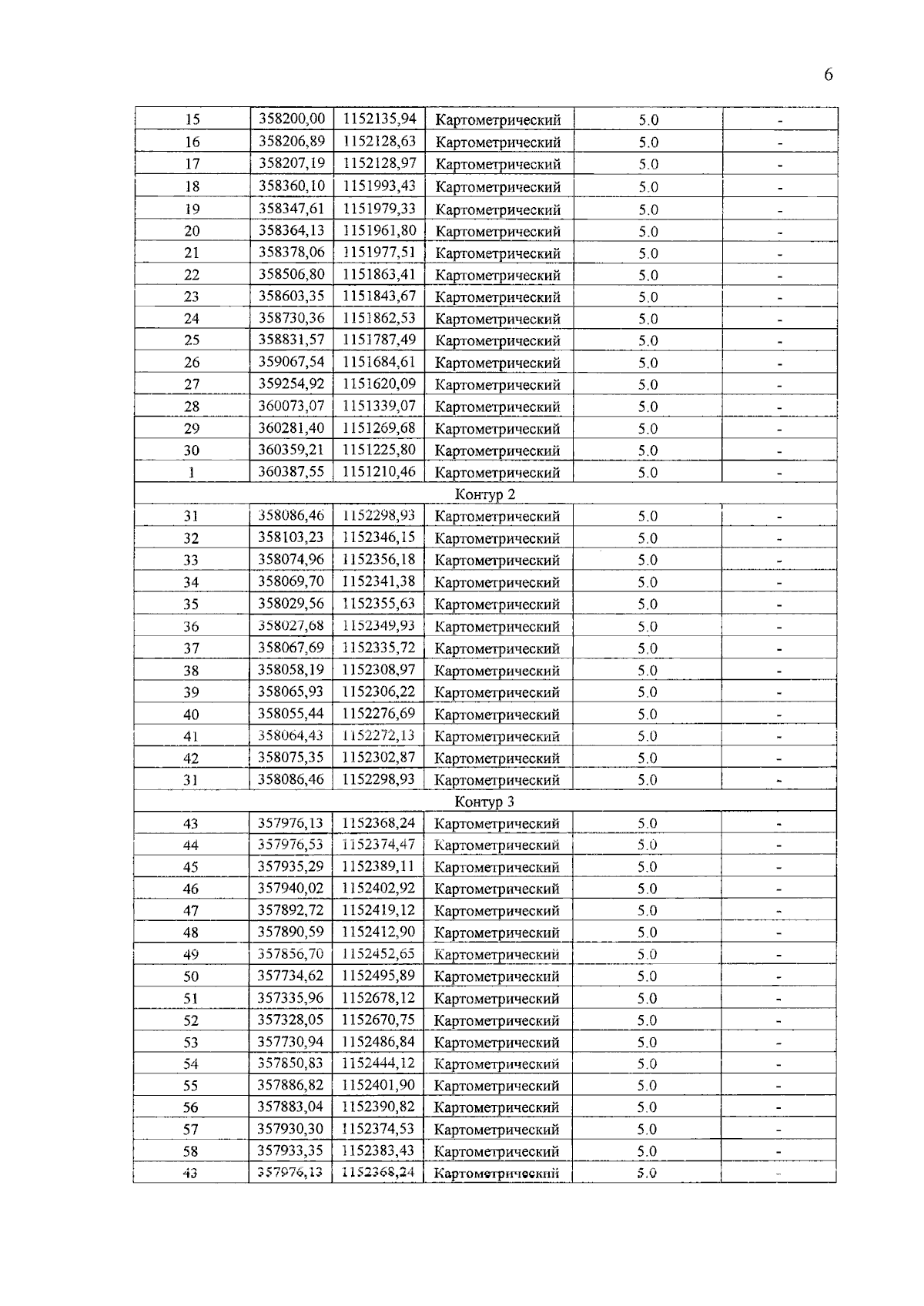
Приказ Министерства природных ресурсов, экологии и охраны окружающей среды Республики Марий Эл от 26.09.2025 № 362
"Об утверждении Проектной документации по изменению границ земель, на которых располагаются леса, расположенные в лесопарковых и зеленых зонах Юринского и Волжского лесничеств Республики Марий Эл"
(Зарегистрирован 13.10.2025 № 120420250012)
Номер опубликования: 1201202510130004
Дата опубликования: 13.10.2025
Страница №10 из 26:
Увеличить