Официальное опубликование правовых актов
ОФИЦИАЛЬНОЕ ОПУБЛИКОВАНИЕ
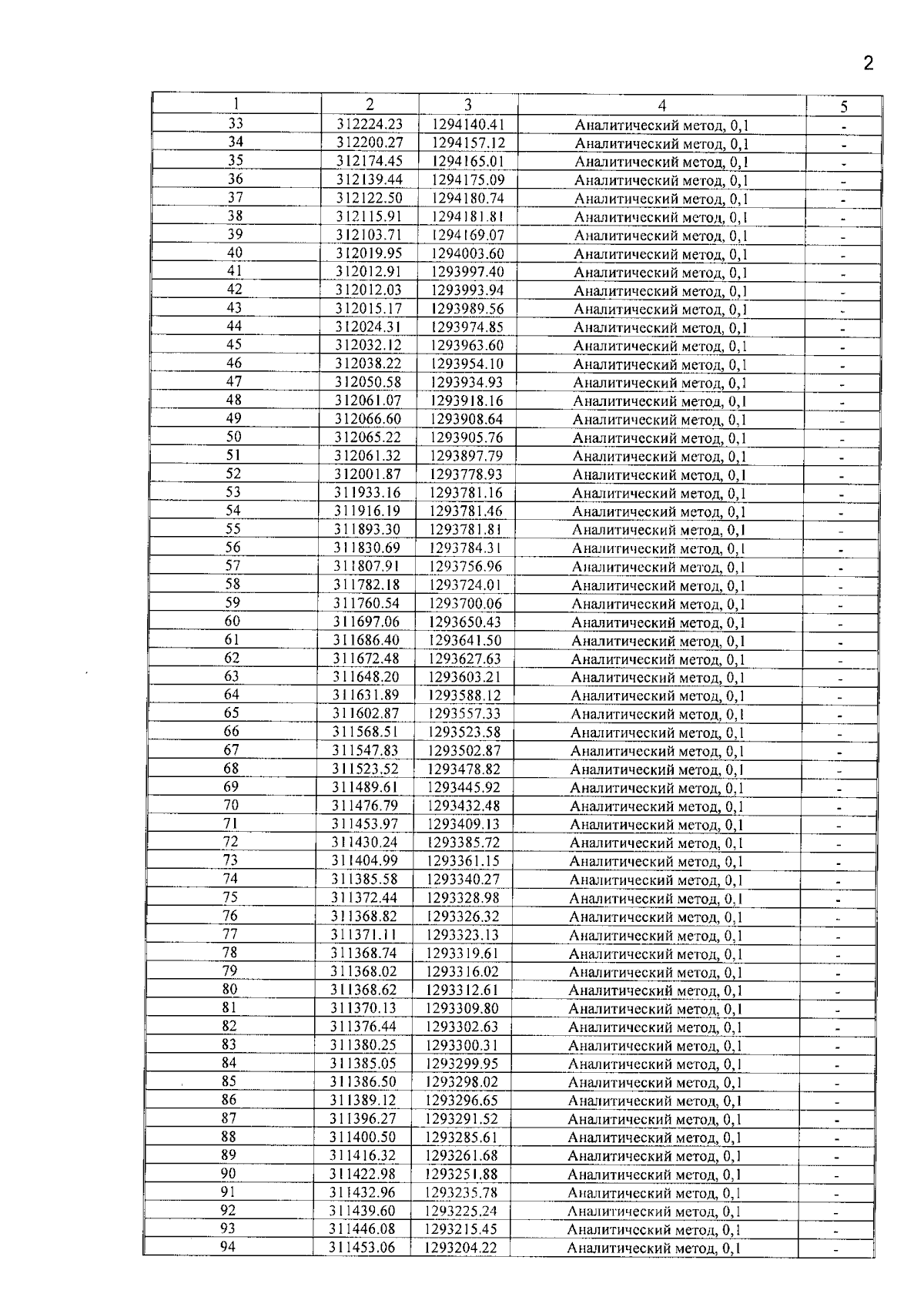
Приказ Министерства строительства, архитектуры и жилищно-коммунального хозяйства Республики Марий Эл от 22.09.2025 № 415
"Об утверждении границ охранной зоны газораспределительной сети и наложении ограничений (обременений) на входящие в нее земельные участки"
(Зарегистрирован 24.09.2025 № 120920250048)
Номер опубликования: 1201202509250001
Дата опубликования: 25.09.2025
Страница №5 из 13:
Увеличить