Официальное опубликование правовых актов
ОФИЦИАЛЬНОЕ ОПУБЛИКОВАНИЕ
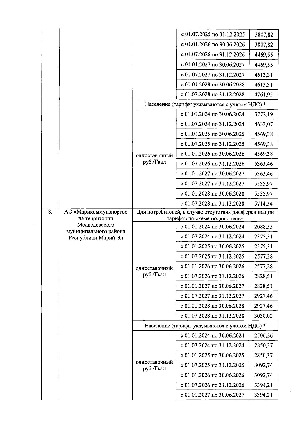
Приказ Министерства промышленности, экономического развития и торговли Республики Марий Эл от 12.09.2025 № 40 т
"Об установлении тарифов на тепловую энергию (мощность), поставляемую потребителям АО "Марикоммунэнерго", на 2024 - 2028 годы"
(Зарегистрирован 17.09.2025 № 121220250034)
Номер опубликования: 1201202509180001
Дата опубликования: 18.09.2025
Страница №11 из 16:
Увеличить