Официальное опубликование правовых актов
ОФИЦИАЛЬНОЕ ОПУБЛИКОВАНИЕ
Приказ Министерства транспорта и дорожного хозяйства Республики Марий Эл от 13.03.2025 № 5-н
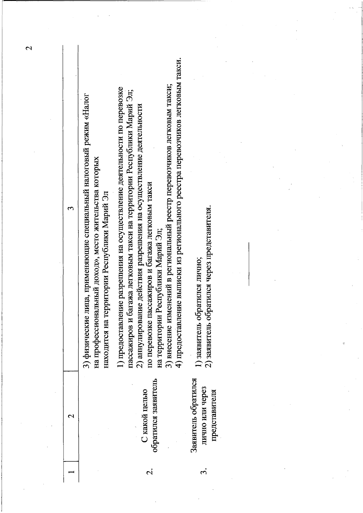
"Об утверждении Административного регламента предоставления государственной услуги "Предоставление или аннулирование действия разрешения на право осуществления деятельности по перевозке пассажиров и багажа легковым такси на территории Республики Марий Эл, внесение изменений в региональный реестр перевозчиков легковым такси, получение выписки из регионального реестра перевозчиков легковым такси"
(Зарегистрирован 24.03.2025 № 120620250003)
Номер опубликования: 1201202503270006
Дата опубликования: 27.03.2025
Страница №148 из 148:
Увеличить