Официальное опубликование правовых актов
ОФИЦИАЛЬНОЕ ОПУБЛИКОВАНИЕ
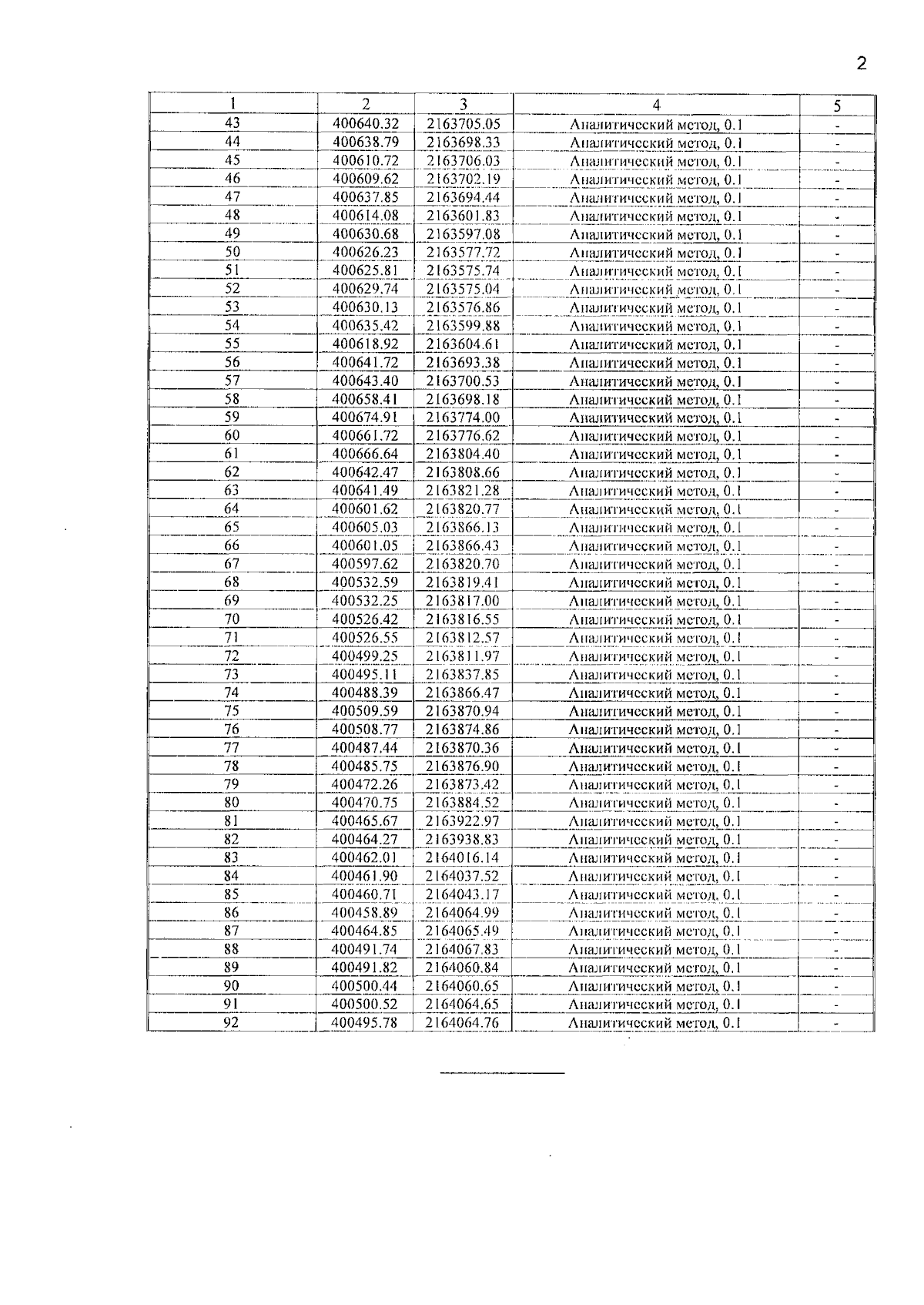
Приказ Министерства строительства, архитектуры и жилищно-коммунального хозяйства Республики Марий Эл от 16.01.2025 № 14
"Об утверждении границ охранных зон газораспределительных сетей и наложении ограничений (обременений) на входящие в них земельные участки"
(Зарегистрирован 31.01.2025 № 120920250004)
Номер опубликования: 1201202501310001
Дата опубликования: 31.01.2025
Страница №40 из 52:
Увеличить