Официальное опубликование правовых актов
ОФИЦИАЛЬНОЕ ОПУБЛИКОВАНИЕ
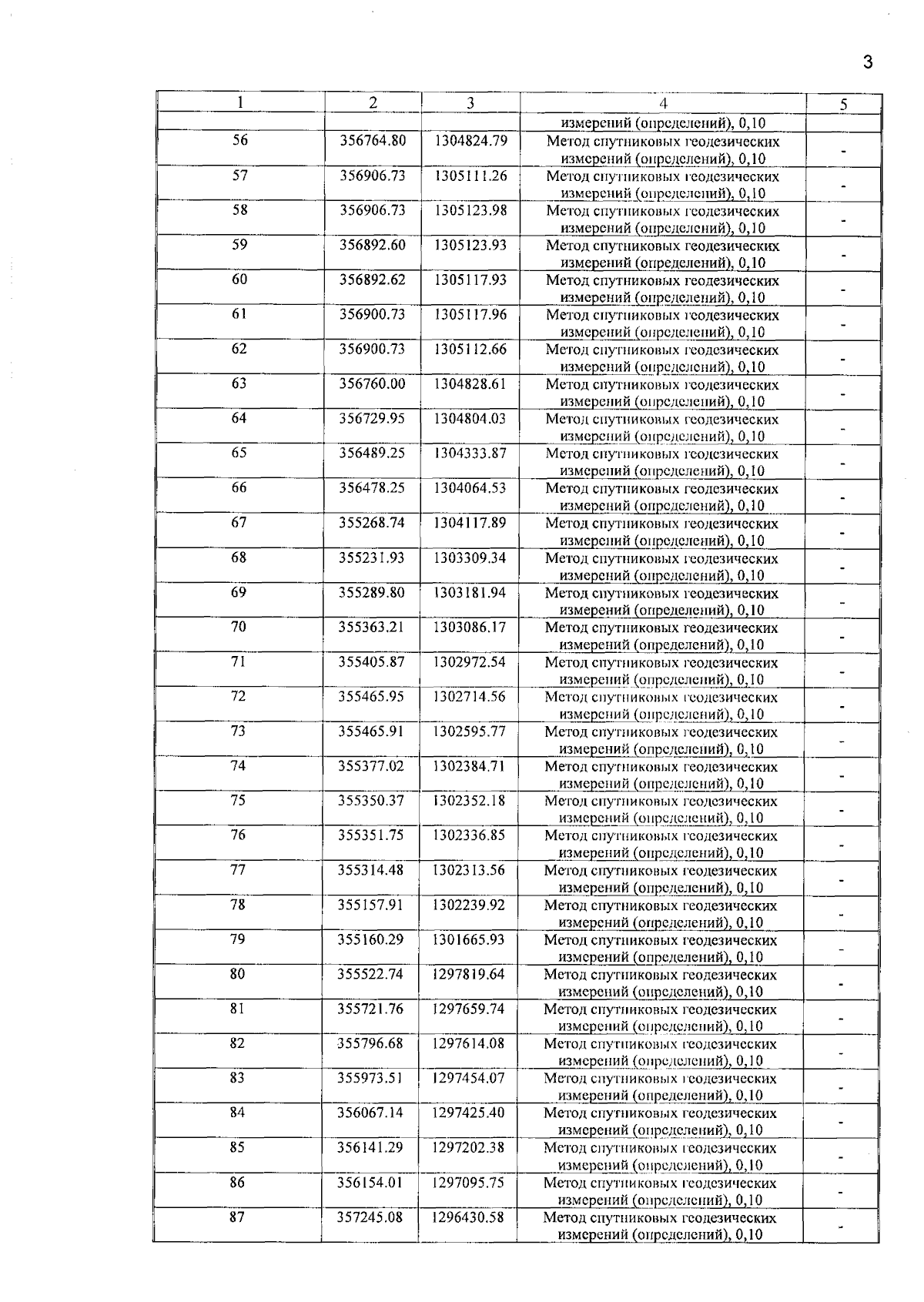
Приказ Министерства строительства, архитектуры и жилищно-коммунального хозяйства Республики Марий Эл от 24.12.2024 № 642
"Об утверждении границ охранной зоны газораспределительной сети и наложении ограничений (обременений) на входящие в нее земельные участки"
(Зарегистрирован 20.01.2025 № 120920240092)
Номер опубликования: 1201202501220006
Дата опубликования: 22.01.2025
Страница №5 из 6:
Увеличить