Официальное опубликование правовых актов
ОФИЦИАЛЬНОЕ ОПУБЛИКОВАНИЕ
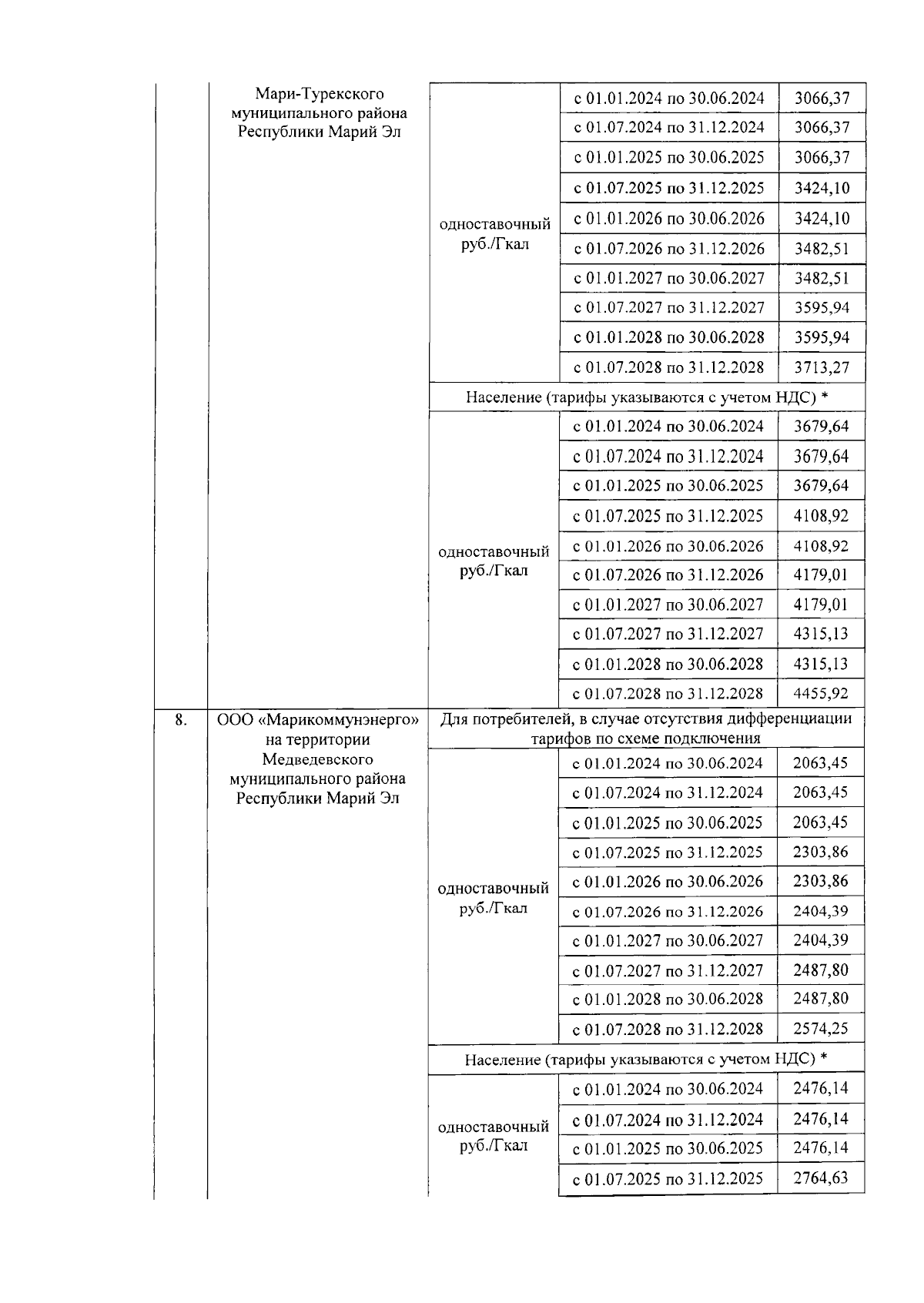
Приказ Министерства промышленности, экономического развития и торговли Республики Марий Эл от 27.12.2024 № 232 т
"О внесении изменений в некоторые приказы Министерства промышленности, экономического развития и торговли Республики Марий Эл"
(Зарегистрирован 28.12.2024 № 121220240218)
Номер опубликования: 1201202412280004
Дата опубликования: 28.12.2024
Страница №8 из 19:
Увеличить