Официальное опубликование правовых актов
ОФИЦИАЛЬНОЕ ОПУБЛИКОВАНИЕ
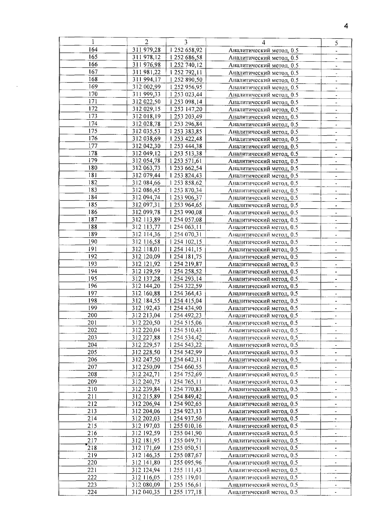
Приказ Министерства строительства, архитектуры и жилищно-коммунального хозяйства Республики Марий Эл от 08.08.2024 № 437
"Об утверждении границы охранной зоны газораспределительной сети и наложении ограничений (обременений) на входящие в нее земельные участки"
(Зарегистрирован 15.08.2024 № 120920240067)
Номер опубликования: 1201202408160001
Дата опубликования: 16.08.2024
Страница №7 из 17:
Увеличить