Приказ Министерства промышленности, экономического развития и торговли Республики Марий Эл от 20.12.2023 № 110 т
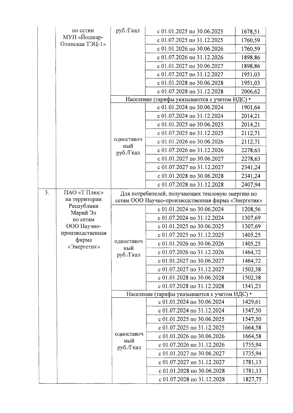
"Об установлении тарифов на тепловую энергию (мощность), поставляемую потребителям ПАО "Т Плюс" на территории Республики Марий Эл, на 2024 - 2028 годы"
(Зарегистрирован 27.12.2023 № 121220230155)
"Об установлении тарифов на тепловую энергию (мощность), поставляемую потребителям ПАО "Т Плюс" на территории Республики Марий Эл, на 2024 - 2028 годы"
(Зарегистрирован 27.12.2023 № 121220230155)
Номер опубликования: 1201202312280015
Дата опубликования:
28.12.2023
