Официальное опубликование правовых актов
ОФИЦИАЛЬНОЕ ОПУБЛИКОВАНИЕ
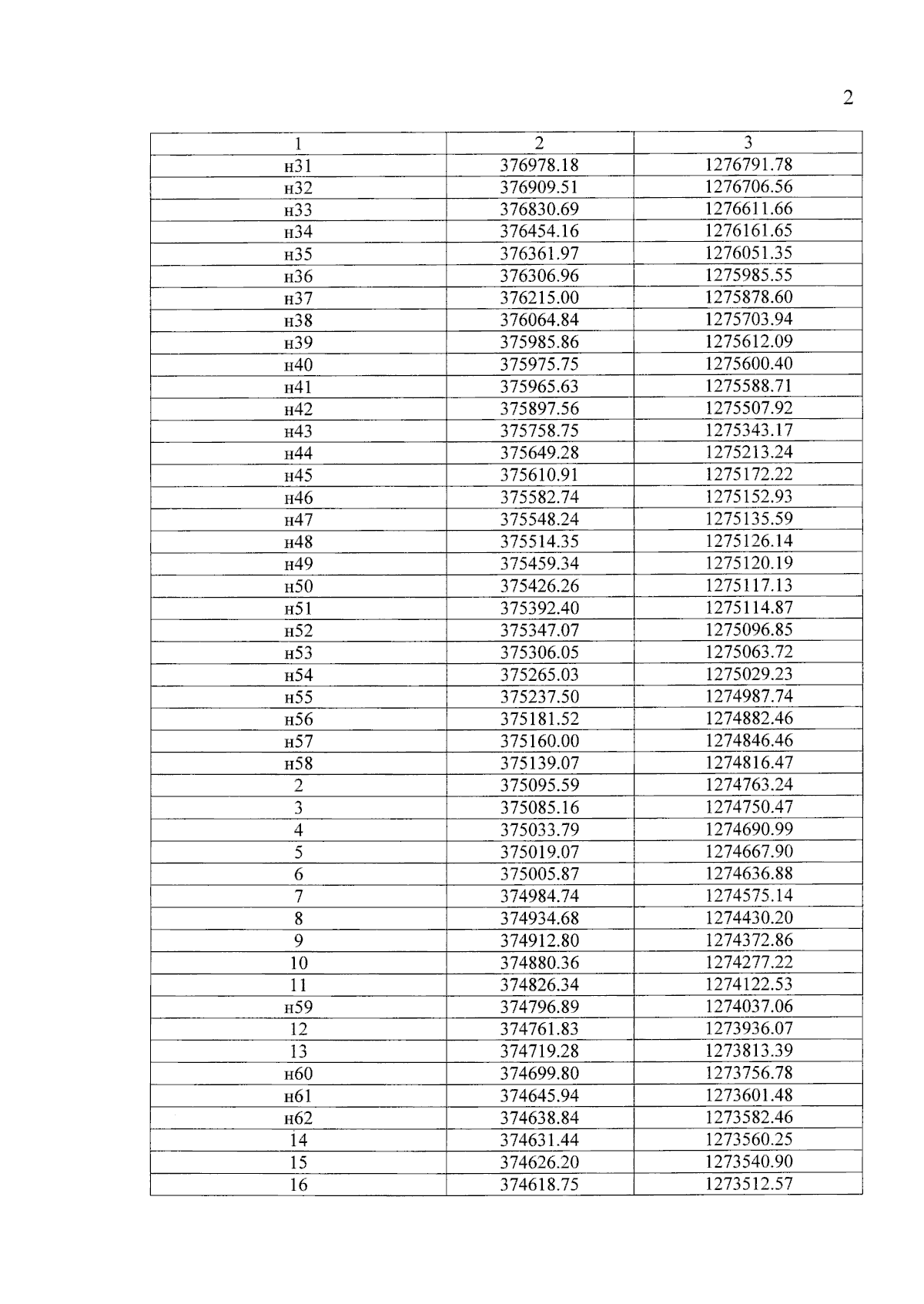
Приказ Министерства транспорта и дорожного хозяйства Республики Марий Эл от 23.10.2023 № 10-н
"Об установлении придорожных полос автомобильной дороги общего пользования регионального или межмуниципального значения в Республике Марий Эл Шойбулак - Купсола - Курукнур на территории Медведевского района Республики Марий Эл"
(Зарегистрирован 03.11.2023 № 120620230008)
Номер опубликования: 1201202311030001
Дата опубликования: 03.11.2023
Страница №5 из 8:
Увеличить