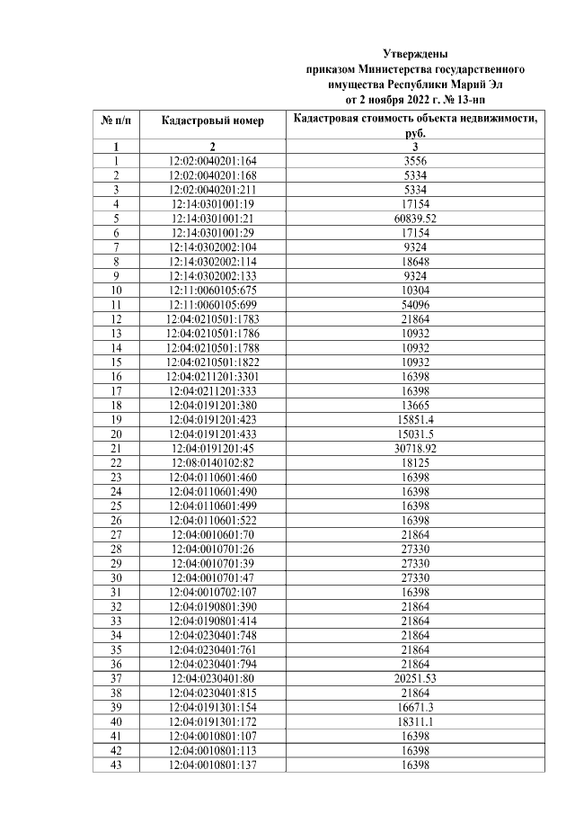
Приказ Министерства государственного имущества Республики Марий Эл от 02.11.2022 № 13-нп
"Об утверждении результатов определения кадастровой стоимости всех учтенных в Едином государственном реестре недвижимости на территории Республики Марий Эл земельных участков"
(Зарегистрирован 14.11.2022 № 120120220012)
"Об утверждении результатов определения кадастровой стоимости всех учтенных в Едином государственном реестре недвижимости на территории Республики Марий Эл земельных участков"
(Зарегистрирован 14.11.2022 № 120120220012)
Номер опубликования: 1201202211170001
Дата опубликования:
17.11.2022
