Официальное опубликование правовых актов
ОФИЦИАЛЬНОЕ ОПУБЛИКОВАНИЕ
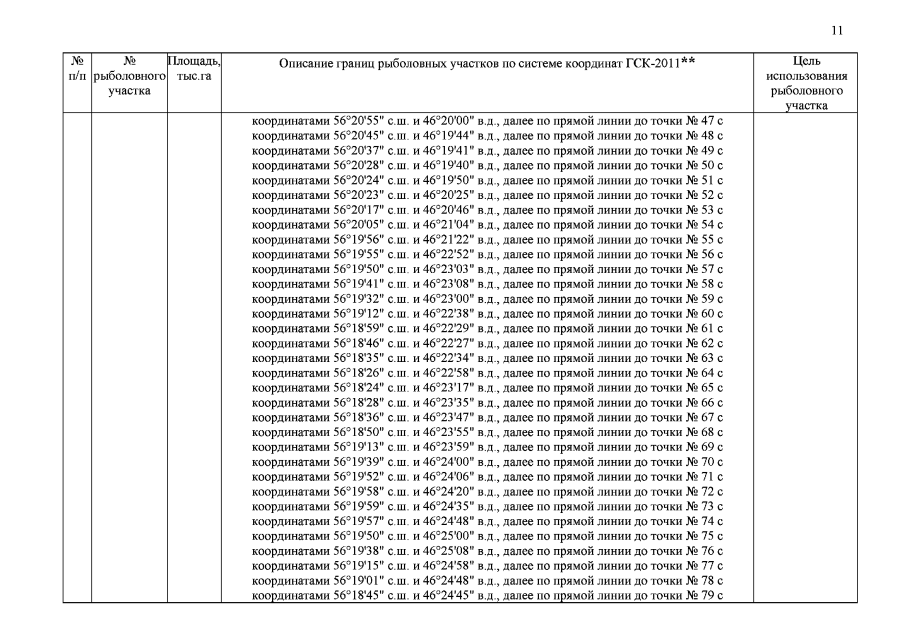
Приказ Министерства природных ресурсов, экологии и охраны окружающей среды Республики Марий Эл от 06.04.2021 № 144
"О внесении изменения в приказ Министерства природных ресурсов, экологии и охраны окружающей среды Республики Марий Эл от 17 марта 2020 г. № 140"
(Зарегистрирован 19.04.2021 № 120420210022)
Номер опубликования: 1201202104220008
Дата опубликования: 22.04.2021
Страница №13 из 43:
Увеличить