Официальное опубликование правовых актов
ОФИЦИАЛЬНОЕ ОПУБЛИКОВАНИЕ
Приказ Министерства культуры, печати и по делам национальностей Республики Марий Эл от 09.04.2021 № 85
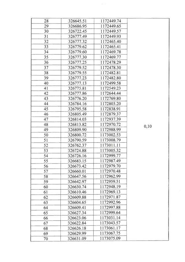
"Об утверждении границ территории и режима использования территории объекта культурного наследия (памятника истории и культуры) народов Российской Федерации регионального значения "Усадьба Шереметевых"
(Зарегистрирован 16.04.2021 № 120320210026)
Номер опубликования: 1201202104190001
Дата опубликования: 19.04.2021
Страница №6 из 8:
Увеличить