Официальное опубликование правовых актов
ОФИЦИАЛЬНОЕ ОПУБЛИКОВАНИЕ
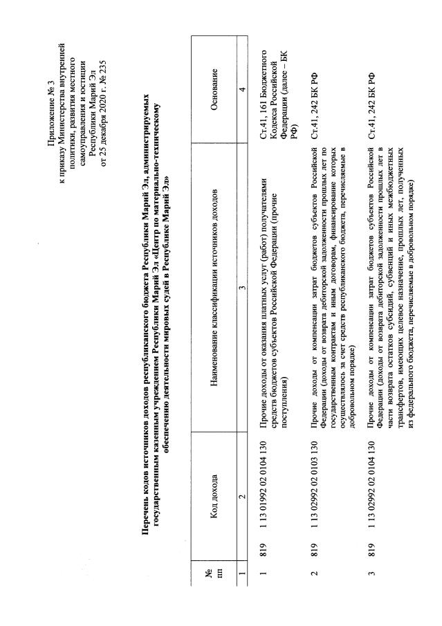
Приказ Министерства внутренней политики, развития местного самоуправления и юстиции Республики Марий Эл от 25.12.2020 № 253
"О закреплении кодов источников доходов"
(Зарегистрирован 25.12.2020 № 121320200014)
Номер опубликования: 1201202012290001
Дата опубликования: 29.12.2020
Страница №41 из 43:
Увеличить