Официальное опубликование правовых актов
ОФИЦИАЛЬНОЕ ОПУБЛИКОВАНИЕ
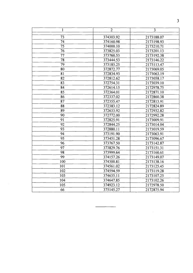
Приказ Министерства транспорта и дорожного хозяйства Республики Марий Эл от 30.11.2020 № 118-н
"Об установлении придорожных полос автомобильной дороги общего пользования республиканского значения Республики Марий Эл Куракино - Портянур на территории Параньгинского района Республики Марий Эл"
(Зарегистрирован 03.12.2020 № 120620200118)
Номер опубликования: 1201202012110008
Дата опубликования: 11.12.2020
Страница №6 из 7:
Увеличить