Официальное опубликование правовых актов
ОФИЦИАЛЬНОЕ ОПУБЛИКОВАНИЕ
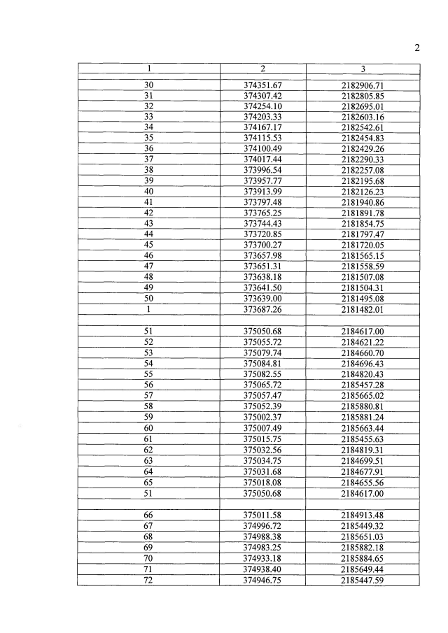
Приказ Министерства транспорта и дорожного хозяйства Республики Марий Эл от 30.11.2020 № 109-н
"Об установлении придорожных полос автомобильной дороги общего пользования республиканского значения Республики Марий Эл Параньга - Олоры на территории Параньгинского района Республики Марий Эл"
(Зарегистрирован 03.12.2020 № 120620200109)
Номер опубликования: 1201202012110006
Дата опубликования: 11.12.2020
Страница №5 из 11:
Увеличить