Официальное опубликование правовых актов
ОФИЦИАЛЬНОЕ ОПУБЛИКОВАНИЕ
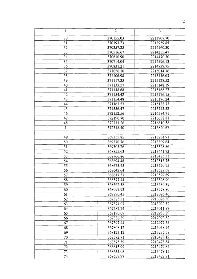
Приказ Министерства транспорта и дорожного хозяйства Республики Марий Эл от 24.11.2020 № 93-н
"Об установлении придорожных полос автомобильной дороги общего пользования республиканского значения Республики Марий Эл Хлебниково - Крупино на территории Мари-Турекского района Республики Марий Эл"
(Зарегистрирован 03.12.2020 № 120620200093)
Номер опубликования: 1201202012090014
Дата опубликования: 09.12.2020
Страница №5 из 9:
Увеличить