Официальное опубликование правовых актов
ОФИЦИАЛЬНОЕ ОПУБЛИКОВАНИЕ
Приказ Министерства транспорта и дорожного хозяйства Республики Марий Эл от 24.11.2020 № 103-н
"Об установлении придорожных полос автомобильной дороги общего пользования республиканского значения Республики Марий Эл Мари-Турек - Мари-Билямор на территории Мари-Турекского района Республики Марий Эл"
(Зарегистрирован 03.12.2020 № 120620200103)
Номер опубликования: 1201202012090013
Дата опубликования: 09.12.2020
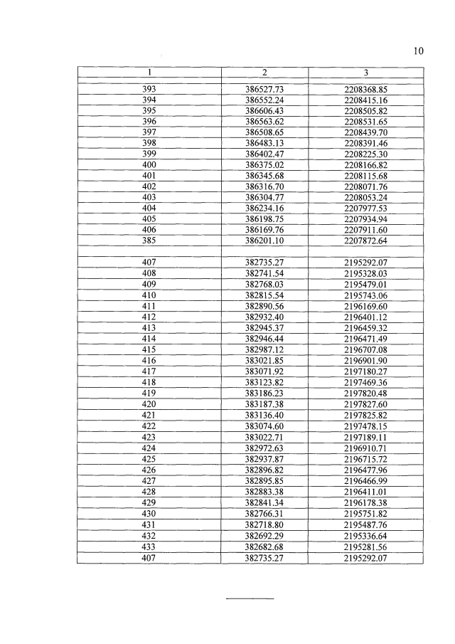
Страница №13 из 14:
Увеличить