Официальное опубликование правовых актов
ОФИЦИАЛЬНОЕ ОПУБЛИКОВАНИЕ
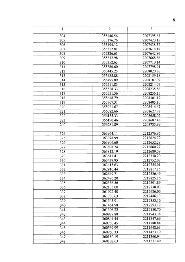
Приказ Министерства транспорта и дорожного хозяйства Республики Марий Эл от 24.11.2020 № 104-н
"Об установлении придорожных полос автомобильной дороги общего пользования республиканского значения Республики Марий Эл Хлебниково - Мариец на территории Мари-Турекского района Республики Марий Эл"
(Зарегистрирован 03.12.2020 № 120620200104)
Номер опубликования: 1201202012090002
Дата опубликования: 09.12.2020
Страница №11 из 14:
Увеличить