Официальное опубликование правовых актов
ОФИЦИАЛЬНОЕ ОПУБЛИКОВАНИЕ
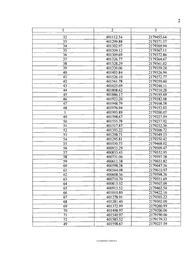
Приказ Министерства транспорта и дорожного хозяйства Республики Марий Эл от 27.10.2020 № 89-н
"Об установлении придорожных полос автомобильной дороги общего пользования республиканского значения Республики Марий Эл Малое Онучино - Зашижемье на территории Сернурского района Республики Марий Эл"
(Зарегистрирован 02.11.2020 № 120620200078)
Номер опубликования: 1201202011030004
Дата опубликования: 03.11.2020
Страница №5 из 6:
Увеличить