Официальное опубликование правовых актов
ОФИЦИАЛЬНОЕ ОПУБЛИКОВАНИЕ
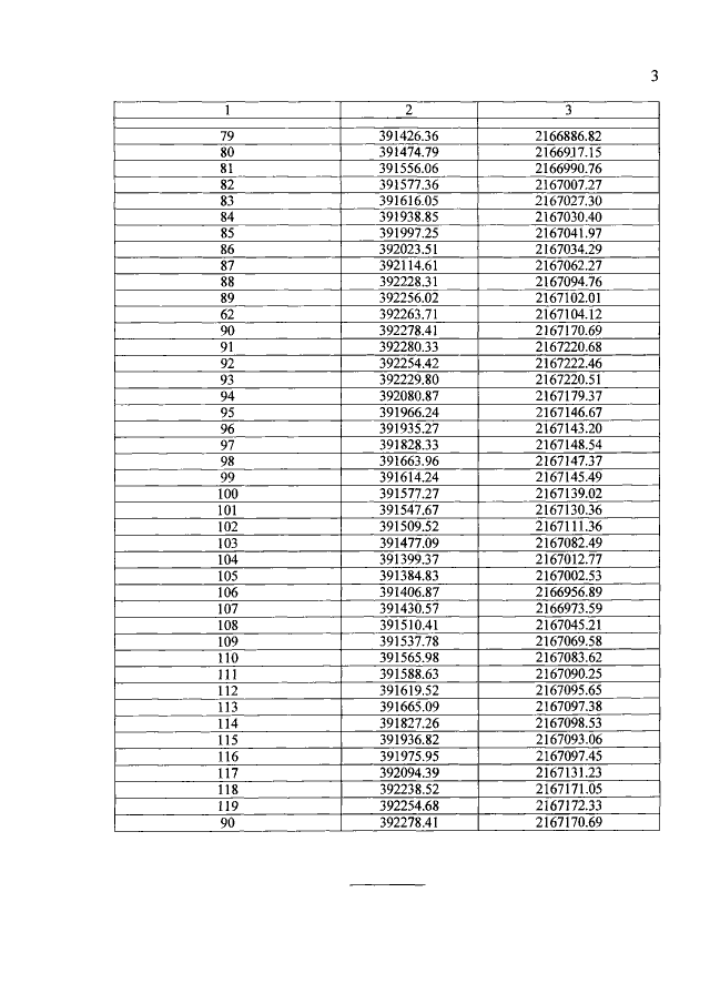
Приказ Министерства транспорта и дорожного хозяйства Республики Марий Эл от 23.10.2020 № 73-н
"Об установлении придорожных полос автомобильной дороги общего пользования республиканского значения Республики Марий Эл Верхний Кугенер - Энермучаш - Пекпулатово на территории Сернурского района Республики Марий Эл"
(Зарегистрирован 30.10.2020 № 120620200068)
Номер опубликования: 1201202011020006
Дата опубликования: 02.11.2020
Страница №6 из 7:
Увеличить