Официальное опубликование правовых актов
ОФИЦИАЛЬНОЕ ОПУБЛИКОВАНИЕ
Приказ Министерства транспорта и дорожного хозяйства Республики Марий Эл от 23.10.2020 № 76-н
"Об установлении придорожных полос автомобильной дороги общего пользования республиканского значения Республики Марий Эл Малое Онучино - Большое Онучино на территории Сернурского района Республики Марий Эл"
(Зарегистрирован 30.10.2020 № 120620200065)
Номер опубликования: 1201202011020005
Дата опубликования: 02.11.2020
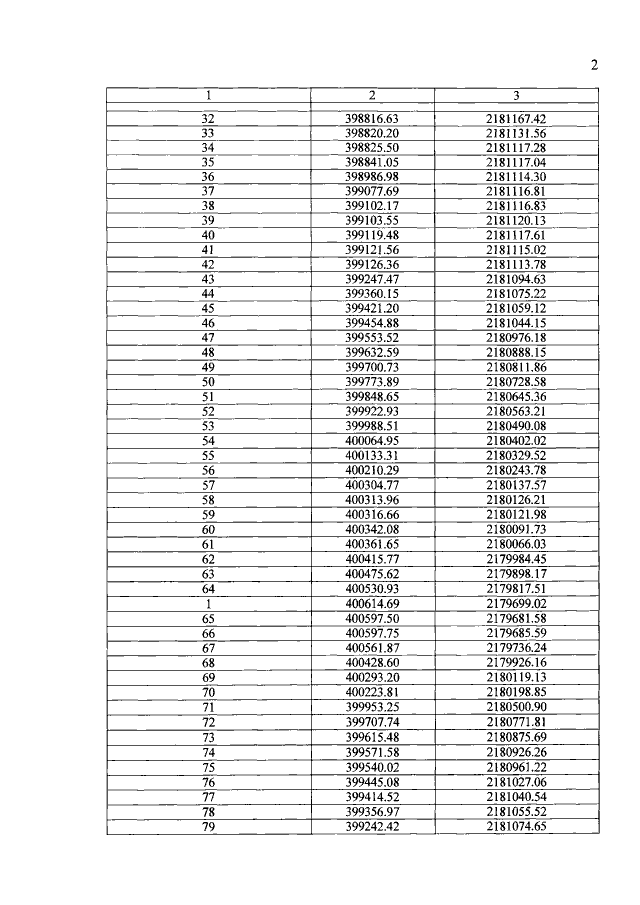
Страница №5 из 7:
Увеличить