Официальное опубликование правовых актов
ОФИЦИАЛЬНОЕ ОПУБЛИКОВАНИЕ
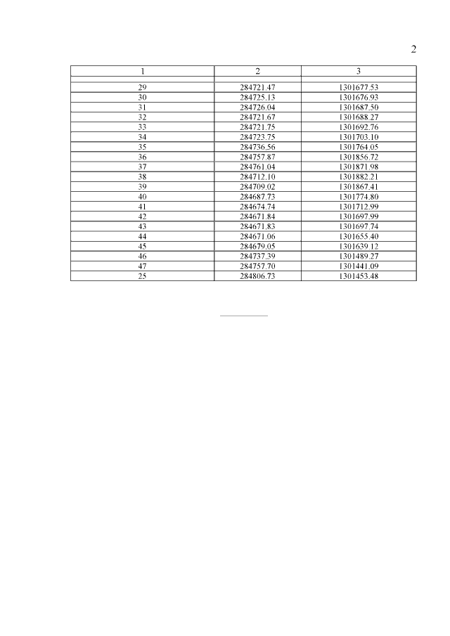
Приказ Министерства транспорта и дорожного хозяйства Республики Марий Эл от 13.10.2020 № 56-н
"Об установлении придорожных полос автомобильной дороги общего пользования республиканского значения Республики Марий Эл Подъезд к дер.Малые Параты на территории Волжского района Республики Марий Эл"
(Зарегистрирован 20.10.2020 № 120620200049)
Номер опубликования: 1201202010260001
Дата опубликования: 26.10.2020
Страница №5 из 6:
Увеличить