Официальное опубликование правовых актов
ОФИЦИАЛЬНОЕ ОПУБЛИКОВАНИЕ
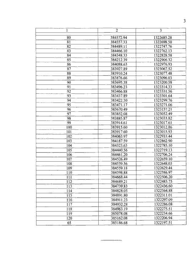
Приказ Министерства транспорта и дорожного хозяйства Республики Марий Эл от 29.09.2020 № 32-н
"Об установлении придорожных полос автомобильной дороги общего пользования республиканского значения Республики Марий Эл Пондашсола - Верх-Ушут - Нурсола на территории Куженерского района Республики Марий Эл"
(Зарегистрирован 07.10.2020 № 120620200036)
Номер опубликования: 1201202010100018
Дата опубликования: 10.10.2020
Страница №6 из 7:
Увеличить