Официальное опубликование правовых актов
ОФИЦИАЛЬНОЕ ОПУБЛИКОВАНИЕ
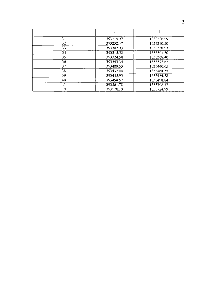
Приказ Министерства транспорта и дорожного хозяйства Республики Марий Эл от 29.09.2020 № 35-н
"Об установлении придорожных полос автомобильной дороги общего пользования республиканского значения Республики Марий Эл Токтайбеляк - Дементьево - Пюнчерюмал на территории Куженерского района Республики Марий Эл"
(Зарегистрирован 07.10.2020 № 120620200038)
Номер опубликования: 1201202010100015
Дата опубликования: 10.10.2020
Страница №5 из 6:
Увеличить