Официальное опубликование правовых актов
ОФИЦИАЛЬНОЕ ОПУБЛИКОВАНИЕ
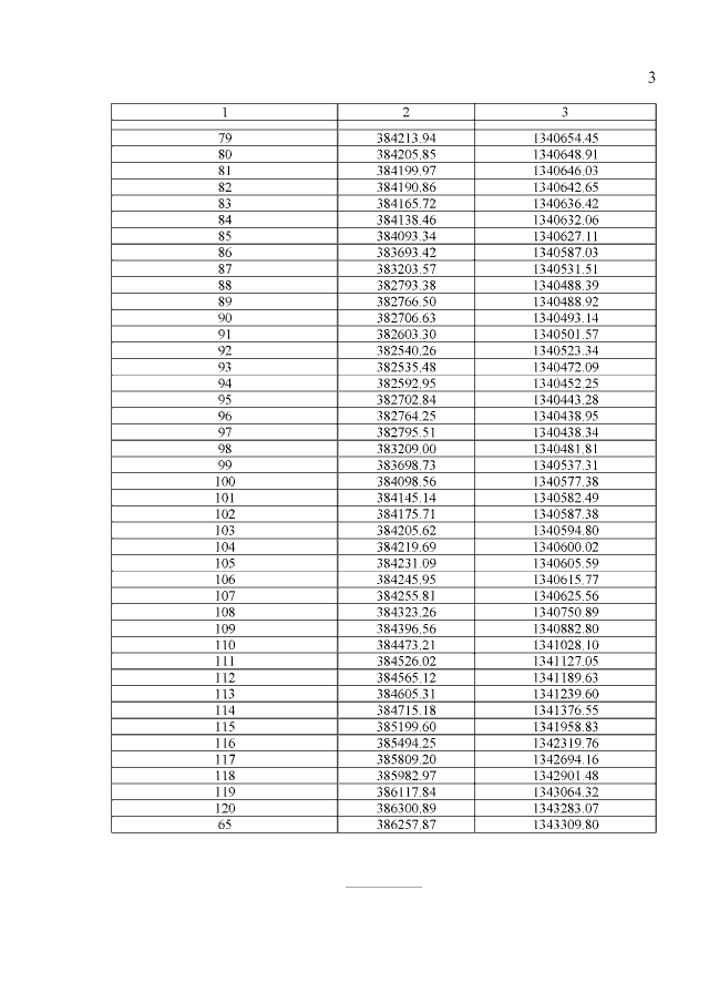
Приказ Министерства транспорта и дорожного хозяйства Республики Марий Эл от 17.08.2020 № 24-н
"Об установлении границ придорожных полос автомобильной дороги общего пользования республиканского значения Республики Марий Эл Памашнур - Шорсола на территории Куженерского района Республики Марий Эл и установлении особого режима использования земельных участков в границах придорожных полос"
(Зарегистрирован 21.08.2020 № 120620200025)
Номер опубликования: 1201202008240007
Дата опубликования: 24.08.2020
Страница №6 из 7:
Увеличить