Официальное опубликование правовых актов
ОФИЦИАЛЬНОЕ ОПУБЛИКОВАНИЕ
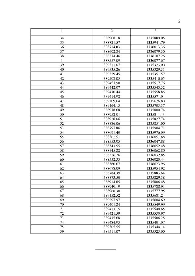
Приказ Министерства транспорта и дорожного хозяйства Республики Марий Эл от 13.08.2020 № 18-н
"Об установлении границ придорожных полос автомобильной дороги общего пользования республиканского значения Республики Марий Эл Подъезд к дер. Сабер на территории Куженерского района Республики Марий Эл и установлении особого режима использования земельных участков в границах придорожных полос"
(Зарегистрирован 20.08.2020 № 120620200022)
Номер опубликования: 1201202008210001
Дата опубликования: 21.08.2020
Страница №5 из 6:
Увеличить