Официальное опубликование правовых актов
ОФИЦИАЛЬНОЕ ОПУБЛИКОВАНИЕ
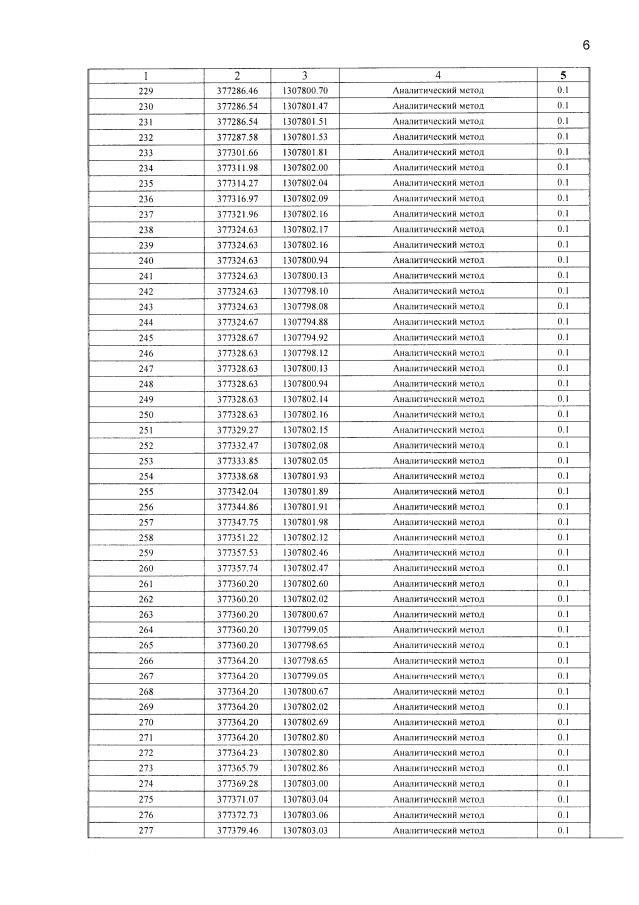
Приказ Министерства строительства, архитектуры и жилищно-коммунального хозяйства Республики Марий Эл от 25.12.2019 № 517
"Об утверждении границ охранных зон газораспределительных сетей и наложении ограничений (обременений) на входящие в них земельные участки"
(Зарегистрирован 14.01.2020 № 120920190034)
Номер опубликования: 1201202001170005
Дата опубликования: 17.01.2020
Страница №29 из 43:
Увеличить