Официальное опубликование правовых актов
ОФИЦИАЛЬНОЕ ОПУБЛИКОВАНИЕ
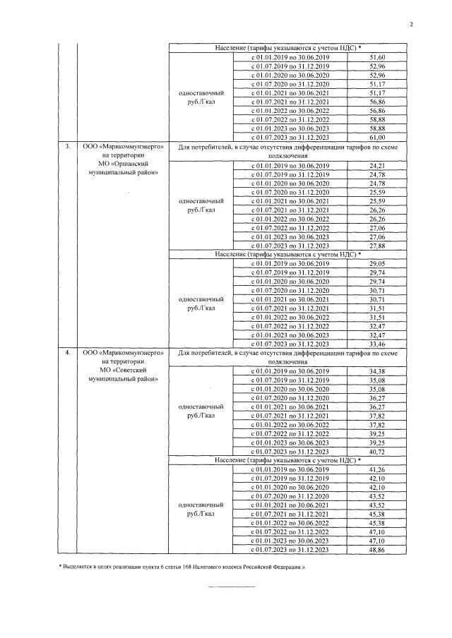
Приказ Министерства промышленности, экономического развития и торговли Республики Марий Эл от 18.12.2019 № 182 т
"О внесении изменений в некоторые приказы Министерства промышленности, экономического развития и торговли Республики Марий Эл"
(Зарегистрирован 25.12.2019 № 121220190164)
Номер опубликования: 1201201912300002
Дата опубликования: 30.12.2019
Страница №24 из 26:
Увеличить