Официальное опубликование правовых актов
ОФИЦИАЛЬНОЕ ОПУБЛИКОВАНИЕ
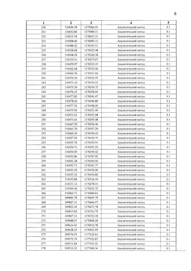
Приказ Министерства строительства, архитектуры и жилищно-коммунального хозяйства Республики Марий Эл от 09.12.2019 № 471
"Об утверждении границы охранной зоны газораспределительной сети и наложении ограничений (обременений) на входящие в нее земельные участки"
(Зарегистрирован 10.12.2019 № 120920190030)
Номер опубликования: 1201201912110001
Дата опубликования: 11.12.2019
Страница №9 из 10:
Увеличить