Официальное опубликование правовых актов
ОФИЦИАЛЬНОЕ ОПУБЛИКОВАНИЕ
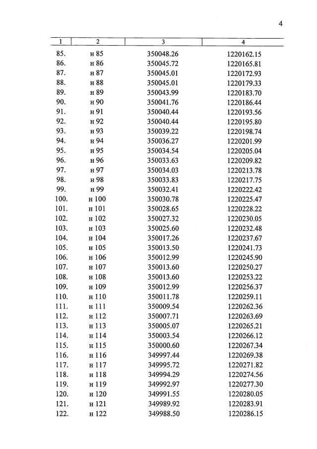
Постановление Правительства Республики Марий Эл от 17.01.2022 № 10
"О внесении изменений в постановление Правительства Республики Марий Эл от 20 июля 2015 г. № 399"
Номер опубликования: 1200202201180002
Дата опубликования: 18.01.2022
Страница №6 из 213:
Увеличить