Официальное опубликование правовых актов
ОФИЦИАЛЬНОЕ ОПУБЛИКОВАНИЕ
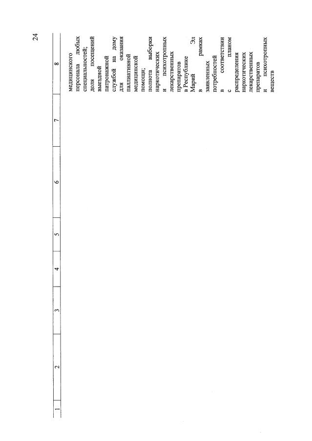
Постановление Правительства Республики Марий Эл от 28.04.2021 № 183
"О внесении изменений в постановление Правительства Республики Марий Эл от 30 декабря 2012 г. № 492"
Номер опубликования: 1200202104300005
Дата опубликования: 30.04.2021
Страница №145 из 377:
Увеличить