Официальное опубликование правовых актов
ОФИЦИАЛЬНОЕ ОПУБЛИКОВАНИЕ
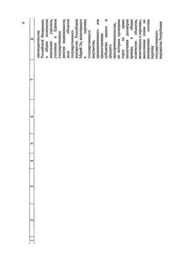
Постановление Правительства Республики Марий Эл от 27.10.2020 № 402
"О внесении изменения в постановление Правительства Республики Марий Эл от 30 ноября 2012 г. № 445"
Номер опубликования: 1200202010300001
Дата опубликования: 30.10.2020
Страница №44 из 108:
Увеличить