Официальное опубликование правовых актов
ОФИЦИАЛЬНОЕ ОПУБЛИКОВАНИЕ
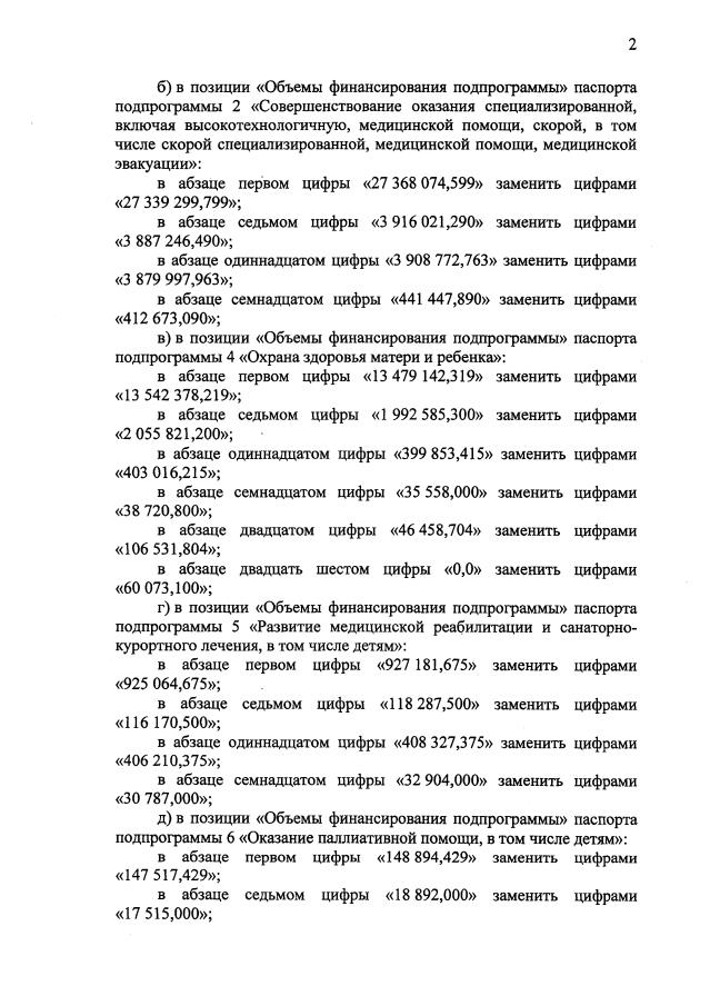
Постановление Правительства Республики Марий Эл от 24.05.2018 № 233
"О внесении изменений в постановление Правительства Республики Марий Эл от 30 декабря 2012 г. № 492"
Номер опубликования: 1200201805280002
Дата опубликования: 28.05.2018
Страница №2 из 68:
Увеличить