Официальное опубликование правовых актов
ОФИЦИАЛЬНОЕ ОПУБЛИКОВАНИЕ
Постановление Правительства Республики Марий Эл от 14.09.2017 № 370
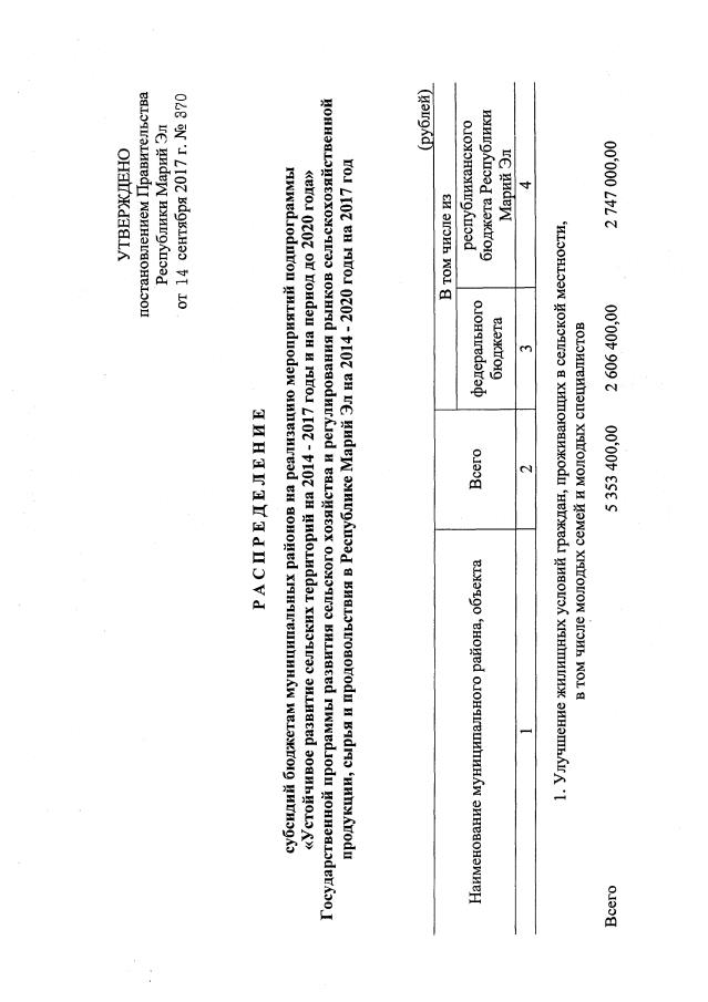
"О распределении субсидий бюджетам муниципальных районов на реализацию мероприятий подпрограммы "Устойчивое развитие сельских территорий на 2014-2017 годы и на период до 2020 года" Государственной программы развития сельского хозяйства и регулирования рынков сельскохозяйственной продукции, сырья и продовольствия в Республике Марий Эл на 2014-2020 годы"
Номер опубликования: 1200201709150001
Дата опубликования: 15.09.2017
Страница №3 из 6:
Увеличить