Официальное опубликование правовых актов
ОФИЦИАЛЬНОЕ ОПУБЛИКОВАНИЕ
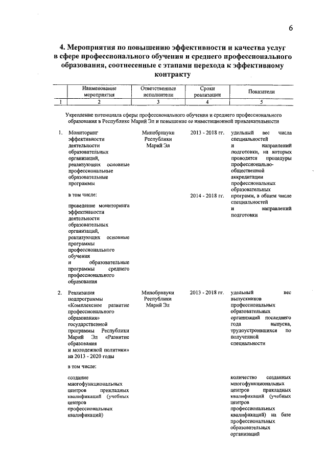
Постановление Правительства Республики Марий Эл от 23.01.2017 № 18
"О внесении изменений в постановление Правительства Республики Марий Эл от 19 мая 2014 г. № 243"
Номер опубликования: 1200201701240009
Дата опубликования: 24.01.2017
Страница №6 из 19:
Увеличить