Официальное опубликование правовых актов
ОФИЦИАЛЬНОЕ ОПУБЛИКОВАНИЕ
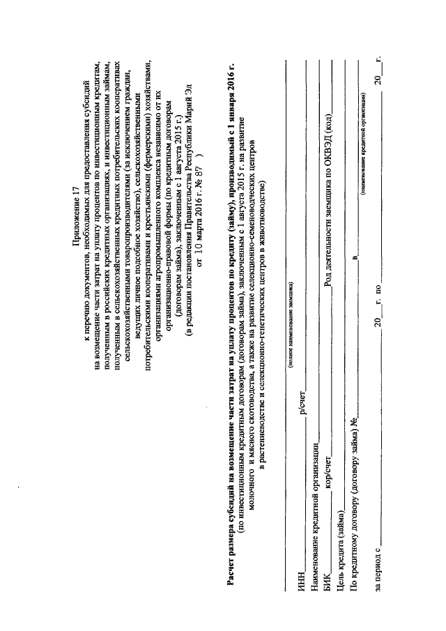
Постановление Правительства Республики Марий Эл от 10.03.2016 № 87
"О внесении изменений в некоторые постановления Правительства Республики Марий Эл"
Номер опубликования: 1200201603110002
Дата опубликования: 11.03.2016
Страница №45 из 52:
Увеличить