Официальное опубликование правовых актов
ОФИЦИАЛЬНОЕ ОПУБЛИКОВАНИЕ
Приказ Министерства труда, занятости и социальной защиты Республики Коми от 18.12.2018 № 1939
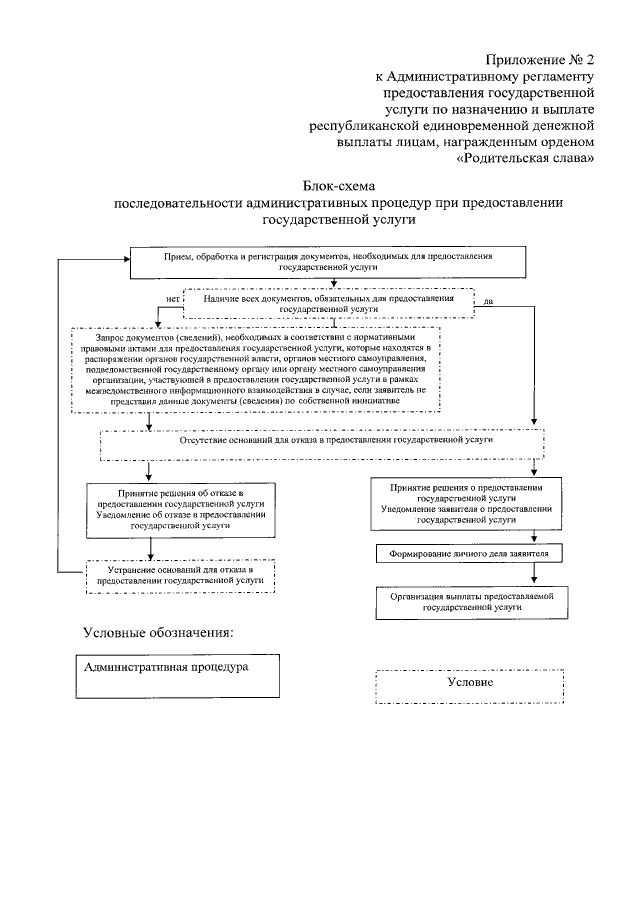
"О внесении изменений в приказ Агентства Республики Коми по социальному развитию от 14 февраля 2014 г. № 323 "Об утверждении административного регламента предоставления государственной услуги по назначению и выплате республиканской единовременной денежной выплаты лицам, награжденным орденом "Родительская слава"
Номер опубликования: 1101201812200001
Дата опубликования: 20.12.2018
Страница №41 из 43:
Увеличить