Официальное опубликование правовых актов
ОФИЦИАЛЬНОЕ ОПУБЛИКОВАНИЕ
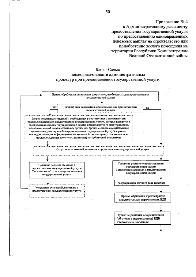
Приказ Министерства труда, занятости и социальной защиты Республики Коми от 13.12.2018 № 1906
"Об утверждении Административного регламента предоставления государственной услуги по предоставлению единовременных денежных выплат на строительство или приобретение жилого помещения на территории Республики Коми ветеранам Великой Отечественной войны"
Номер опубликования: 1101201812190002
Дата опубликования: 19.12.2018
Страница №50 из 51:
Увеличить