Официальное опубликование правовых актов
ОФИЦИАЛЬНОЕ ОПУБЛИКОВАНИЕ
Приказ Министерства труда, занятости и социальной защиты Республики Коми от 15.11.2018 № 1725
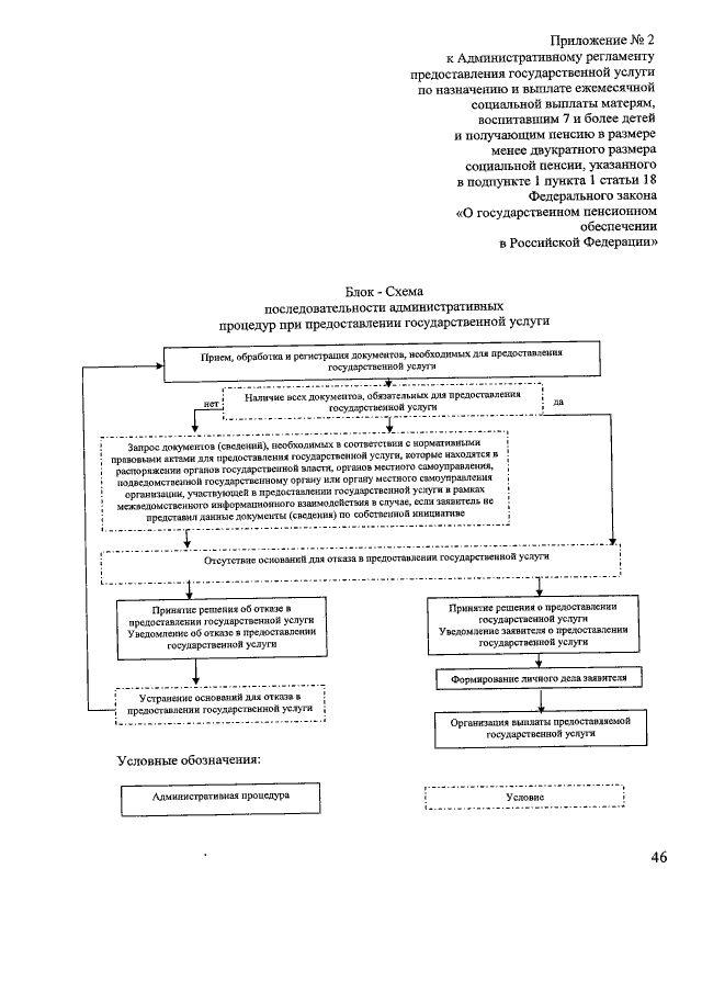
"О внесении изменений в приказ Агентства Республики Коми по социальному развитию от 18 апреля 2012 г. № 727 "Об утверждении Административного регламента предоставления государственной услуги по назначению и выплате ежемесячной социальной выплаты матерям, воспитавшим 7 и более детей и получающим пенсию в размере менее двукратного размера социальной пенсии, указанного в подпункте 1 пункта 1 статьи 18 Федерального закона "О государственном пенсионном обеспечении в Российской Федерации"
Номер опубликования: 1101201811200003
Дата опубликования: 20.11.2018
Страница №46 из 51:
Увеличить