Официальное опубликование правовых актов
ОФИЦИАЛЬНОЕ ОПУБЛИКОВАНИЕ
Приказ Министерства труда, занятости и социальной защиты Республики Коми от 20.09.2018 № 1396
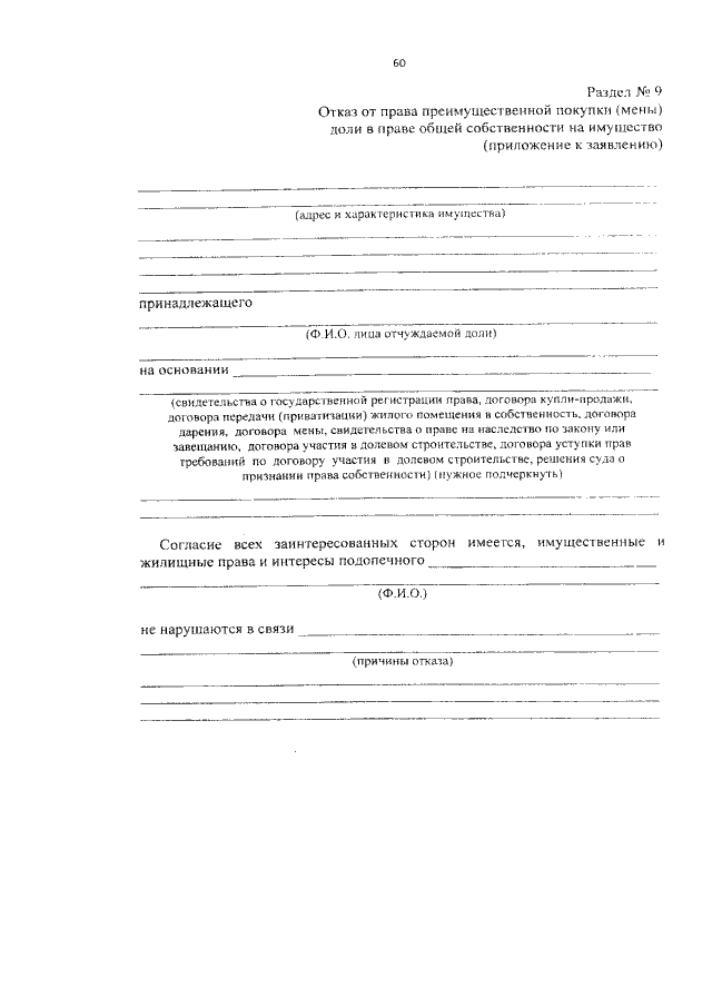
"Об утверждении Административного регламента предоставления государственной услуги по выдаче предварительного разрешения органа опеки и попечительства, затрагивающего осуществление имущественных прав несовершеннолетних, недееспособных, ограниченно дееспособных граждан"
Номер опубликования: 1101201809270004
Дата опубликования: 27.09.2018
Страница №60 из 76:
Увеличить