Официальное опубликование правовых актов
ОФИЦИАЛЬНОЕ ОПУБЛИКОВАНИЕ
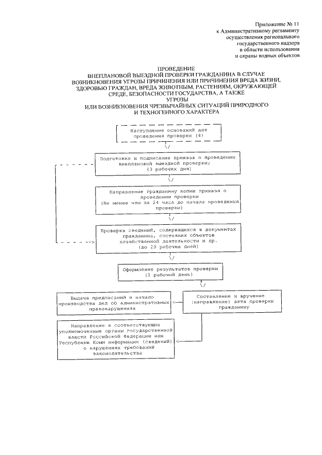
Приказ Министерства природных ресурсов и охраны окружающей среды Республики Коми от 23.03.2018 № 610
"Об утверждении административного регламента осуществления регионального государственного надзора в области использования и охраны водных объектов"
Номер опубликования: 1101201803300003
Дата опубликования: 30.03.2018
Страница №70 из 75:
Увеличить