Официальное опубликование правовых актов
ОФИЦИАЛЬНОЕ ОПУБЛИКОВАНИЕ
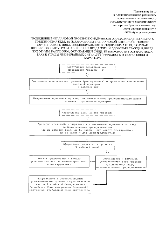
Приказ Министерства природных ресурсов и охраны окружающей среды Республики Коми от 23.03.2018 № 609
"Об утверждении Административного регламента осуществления регионального государственного экологического надзора за сбросом сточных вод через централизованную систему водоотведения"
Номер опубликования: 1101201803300001
Дата опубликования: 30.03.2018
Страница №72 из 78:
Увеличить