Официальное опубликование правовых актов
ОФИЦИАЛЬНОЕ ОПУБЛИКОВАНИЕ
Приказ Министерства труда, занятости и социальной защиты Республики Коми от 22.01.2018 № 99
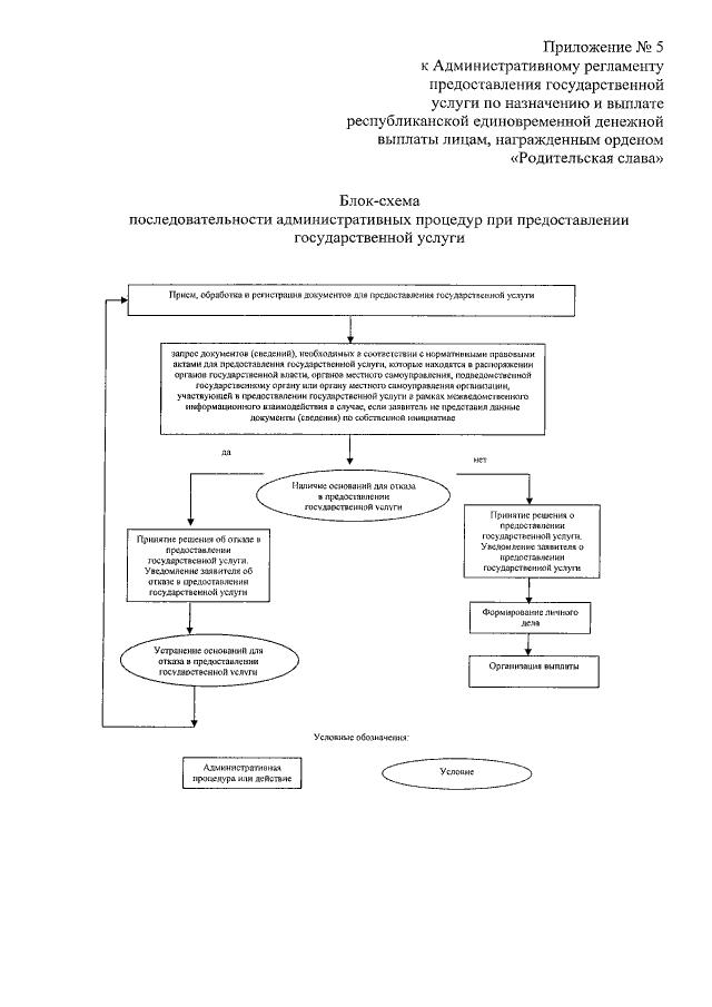
"О внесении изменений в приказ Агентства Республики Коми по социальному развитию от 14 февраля 2014 г. № 323 "Об утверждении административного регламента предоставления государственной услуги по назначению и выплате республиканской единовременной денежной выплаты лицам, награжденным орденом "Родительская слава"
Номер опубликования: 1101201801260001
Дата опубликования: 26.01.2018
Страница №52 из 55:
Увеличить