Официальное опубликование правовых актов
ОФИЦИАЛЬНОЕ ОПУБЛИКОВАНИЕ
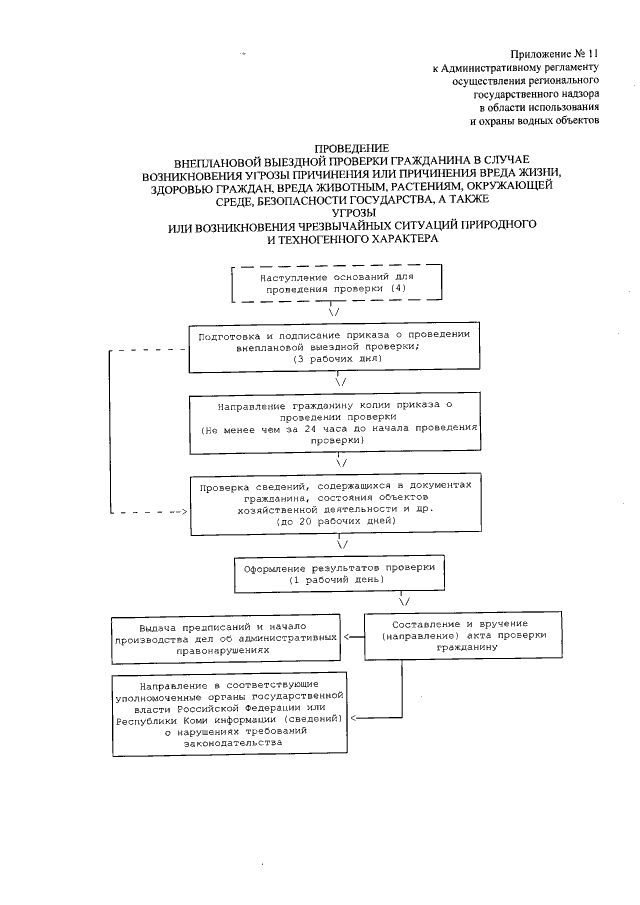
Приказ Министерства промышленности, природных ресурсов, энергетики и транспорта Республики Коми от 27.06.2017 № 1336
"Об утверждении административного регламента осуществления регионального государственного надзора в области использования и охраны водных объектов"
Номер опубликования: 1101201707030003
Дата опубликования: 03.07.2017
Страница №71 из 76:
Увеличить