Официальное опубликование правовых актов
ОФИЦИАЛЬНОЕ ОПУБЛИКОВАНИЕ
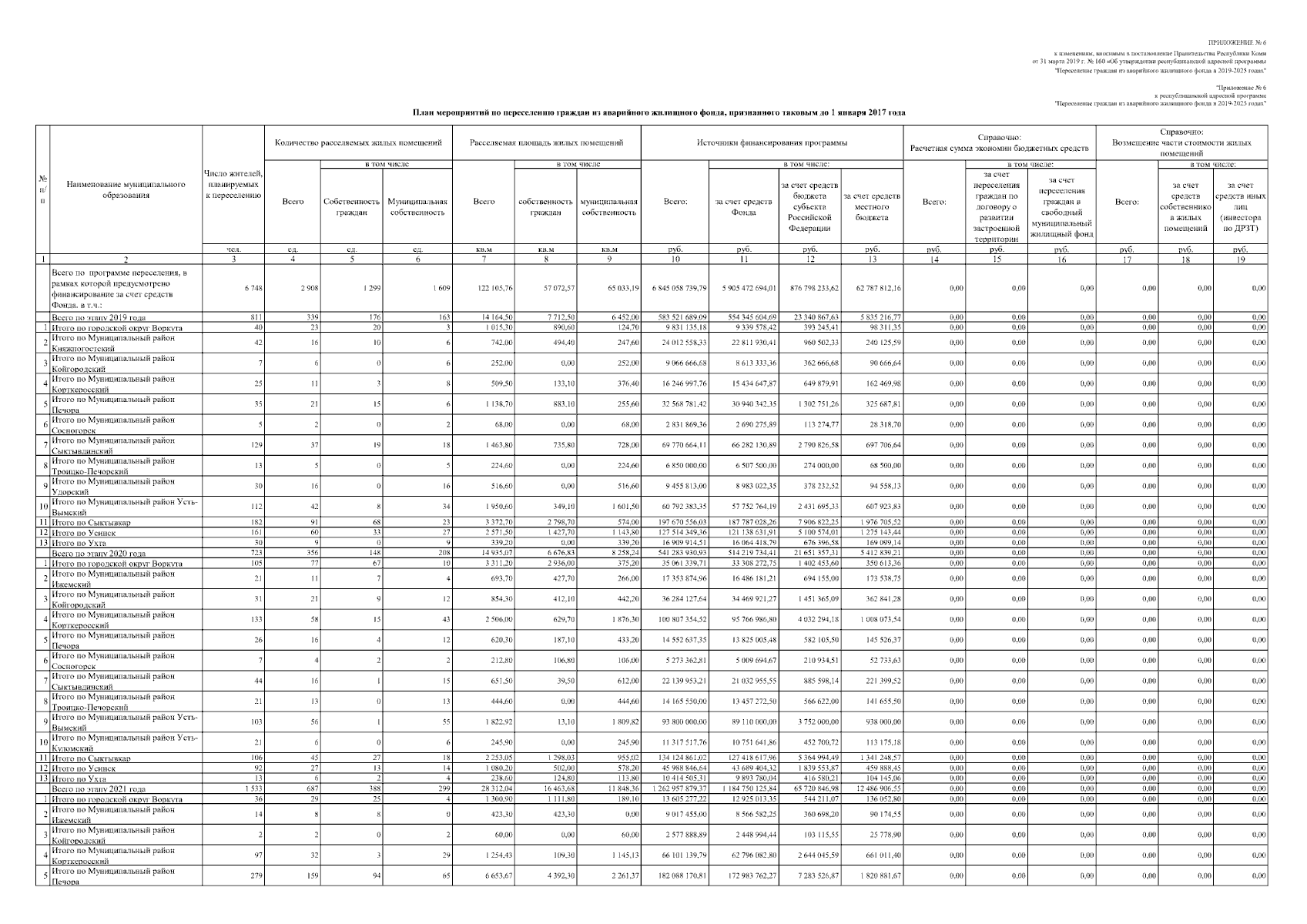
Постановление Правительства Республики Коми от 22.10.2025 № 310
"О внесении изменений в постановление Правительства Республики Коми от 31 марта 2019 г. № 160 "Об утверждении республиканской адресной программы "Переселение граждан из аварийного жилищного фонда в 2019 – 2025 годах"
Номер опубликования: 1100202510270006
Дата опубликования: 27.10.2025
Страница №32 из 33:
Увеличить