Официальное опубликование правовых актов
ОФИЦИАЛЬНОЕ ОПУБЛИКОВАНИЕ
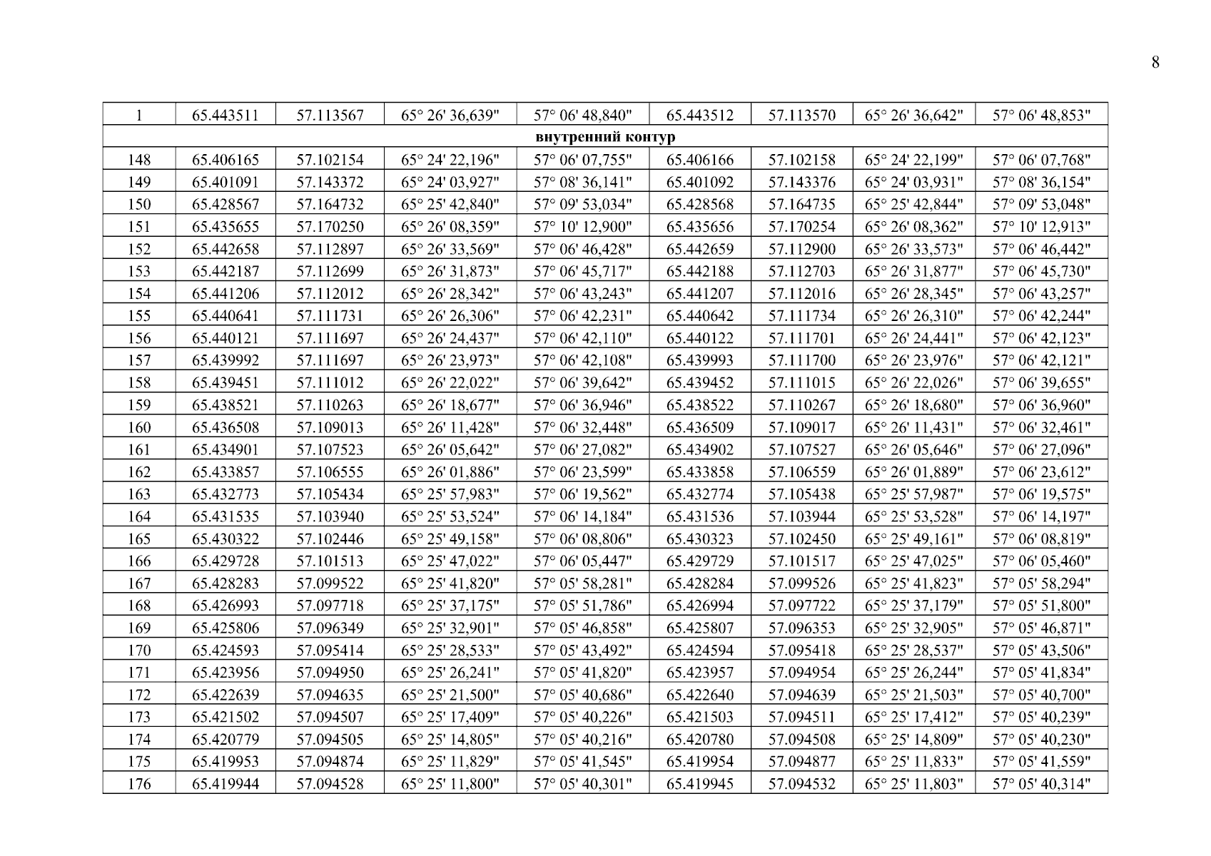
Указ Главы Республики Коми от 07.10.2025 № 79
"Об охранных зонах памятников природы республиканского значения "Соколово", "Кедровка" и "Кременьельский"
Номер опубликования: 1100202510080003
Дата опубликования: 08.10.2025
Страница №8 из 31:
Увеличить