Официальное опубликование правовых актов
ОФИЦИАЛЬНОЕ ОПУБЛИКОВАНИЕ
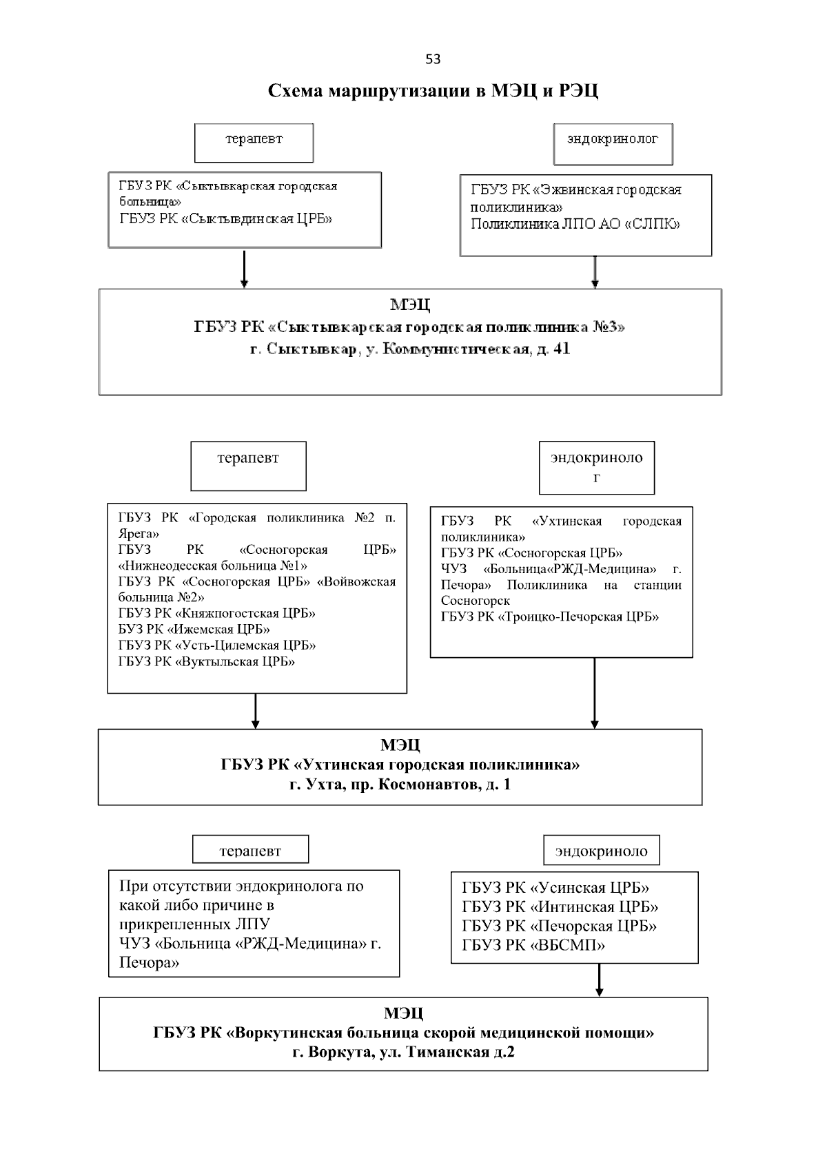
Постановление Правительства Республики Коми от 01.07.2025 № 200
"Об утверждении региональной программы Республики Коми "Борьба с сахарным диабетом"
Номер опубликования: 1100202507070004
Дата опубликования: 07.07.2025
Страница №53 из 135:
Увеличить