Официальное опубликование правовых актов
ОФИЦИАЛЬНОЕ ОПУБЛИКОВАНИЕ
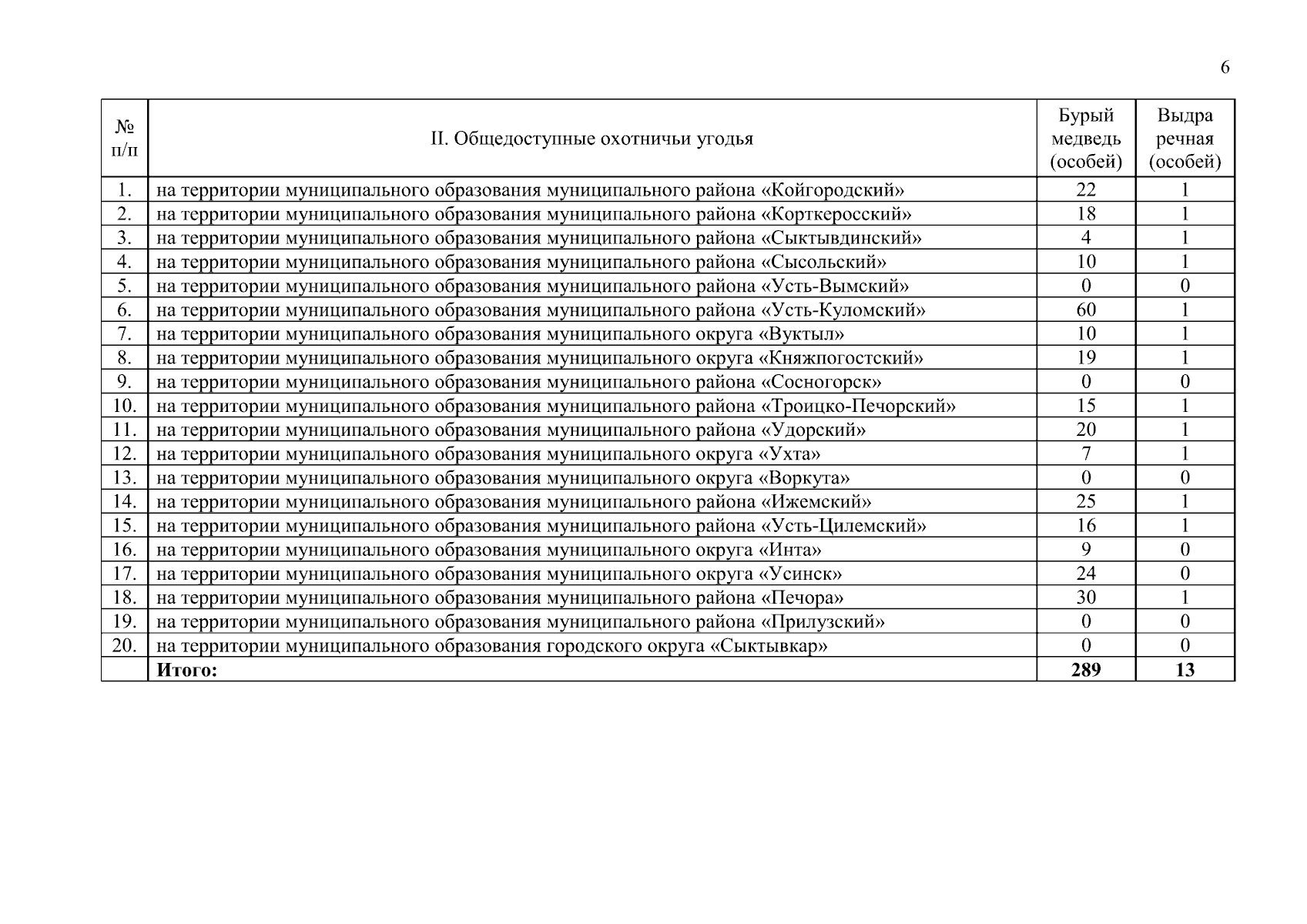
Указ Главы Республики Коми от 17.07.2024 № 85
"Об утверждении лимитов добычи некоторых видов охотничьих ресурсов на территории Республики Коми на период с 1 августа 2024 года до 1 августа 2025 года"
Номер опубликования: 1100202407180005
Дата опубликования: 18.07.2024
Страница №6 из 6:
Увеличить