Официальное опубликование правовых актов
ОФИЦИАЛЬНОЕ ОПУБЛИКОВАНИЕ
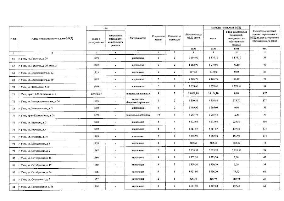
Постановление Правительства Республики Коми от 30.06.2023 № 304
"Об утверждении краткосрочного плана реализации региональной программы капитального ремонта общего имущества в многоквартирных домах в Республике Коми на 2024 - 2026 годы"
Номер опубликования: 1100202307060013
Дата опубликования: 06.07.2023
Страница №40 из 87:
Увеличить